重庆市物价局关于转发《国家发改委、国家烟草专卖局关于2008年烟叶收购价格政策的通知》的通知
重庆市物价局关于
转发《国家发改委、国家烟草专卖局关于
2008年烟叶收购价格政策的通知》的通知
二○○八年三月二十七日 渝价〔2008〕134号
各区县(自治县)物价局:
为引导农民合理安排烟叶生产,促进烟叶生产稳定发展,保持烟叶供求总量平衡和等级结构的不断改善,国家发改委、国家烟草专卖局联合下发了《关于2008年烟叶收购价格政策的通知》(发改价格[2008]733号)。现将通知转发给你们,请即贯彻执行。在执行过程中遇到相关问题及时报告我局。
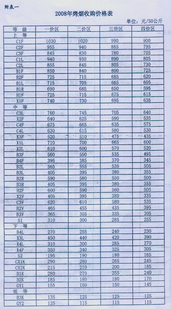
附件:国家发改委、国家烟草专卖局关于2008年烟叶收购价格政策的通知





