重庆市物价局 重庆市价格协会转发关于表彰年度价格理论宣传先进集体及先进个人做好《价格理论与实践》杂志
重庆市物价局 重庆市价格协会
转发关于表彰年度价格理论宣传先进集体及
先进个人做好《价格理论与实践》
杂志发行工作的通知的通知
2013年11月28日 渝价〔2013〕386号
各区县发改委、价格协会:
现将国家发改委价格司、中国价格协会中价协字【2013】34号,《关于表彰年度价格理论宣传先进集体及先进个人做好〈价格理论与实践〉杂志发行工作的通知》的通知转发你们,请你们按要求指派一名同志负责协助该刊在辖区内的征订组织工作,并于
联 系 人:李平
联系电话:67503208(办公室兼传真))
13618277306(手机)
特此通知
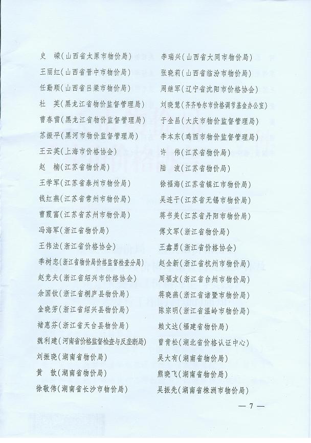
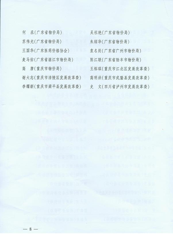
附:关于表彰年度价格理论宣传先进集体及先进个人做好《价格理论与实践》杂志发行工作的通知







